실험 목적
2. 반응성 수지를 경화시키는 방법에 대한 이해
실험 이론 및 원리
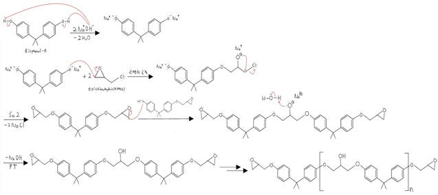
Epoxy Resin은 양 말단에 둘 이상의 에폭시기를 지니는 올리고머에 경화제를 혼합하여 빠른 가교 반응으로 생성된 단단한 열경화성 플라스틱이다. 이는 날씨 변화에 잘 견디고, 빨리 굳으며, 특히 금속과 접착성이 우수해 접착제, 광택 코팅, 반도체 패키징 등에 사용된다. 가장 널리 사용되는 epoxy resin의 제조법은 염기 촉매 존재하에 bisphenol-A와 과량의 epichlorohydrin 사이의 단계 중합을 통해 말단에 에폭시기를 지닌 prepolymer를 제조한다.
![]() |
그림 1 대표적인 bisphenol-A epoxy resin의 합성반응 |
그리고 제조된 epoxy resin을 경화제와 혼합해 사슬 사이의 가교 반응으로 열경화성 고분자가 된다. 경화제는 일반적으로 아민계나 산무수물계 분자로 epoxy resin의 에폭시기의 고리를 열어주는 높은 반응성을 지닌다. 이때 가교 반응을 경화 과정 또는 curing이라 불린다.
![]() |
그림 2. 아민계 경화제를 사용한 epoxy resin의 경화반응
2. Epoxy resin의 종류
Bisphenol-A epoxy resin이 가장 많이 사용되며, 물성의 변화를 위하여 다양한 원료를 사용한 epoxy resin들이 있다. Bisphenol-F epoxy resin은 bisphenol-A에서
대신 -H가 치환되어 bisphenol-A의 동일한 질량에 비해 에폭시기 함량이 높다. 그리고 저점도, 내열성 및 저온 경화성이 우수하다.
![]() |
그림 3. Bisphenol-F epoxy resin |
Novolac epoxy resin은 phenol과 formaldehyde 사이의 중합 반응으로 생성되는 고점도의 phenol 수지다. Bisphenol-A와 F보다 에폭시기 함량이 높아 가교 밀도가 높다. 이로 인해 높은 온도와 내화학성을 가지지만 기계적 유연성이 낮다.
![]() |
그림 4. Novolac epoxy resin |
3. 경화제의 종류
일반적으로 경화되지 않은 epoxy resin은 물성이 우수하지 않아 경화제를 혼합해 3차원의 사슬 간의 높은 가교를 일으켜 단단하고 열 안정성, 내화학성이 높은 재료로 변화시킨다. 경화제는 phenol, anhydrides amine, thiol 순서로 epoxy resin과의 반응성이 좋고 많이 사용되는 작용기다. 본 실험에서 사용되는 경화제는 산무수물인 phthalic anhydride(PA)에 촉매인 3급 아민인 N,N-dimethylaniline(DMA)과 혼합해 경화했다.
N,N-dimethylaniline | phthalic anhydride |
4. 에폭시 가(epoxy value)의 결정
Epoxy value는 epoxy 함량을 측정하기 위해 사용되며, 시료 100g 중에 존재하는 에폭시기의 당량(equiv/100g)이다. 에폭시 당량(EEW)은 에폭시기 1개당의 당량(g/equiv)이며 분자량을 epoxy 1분자당의 에폭시기의 수로 나눈 값이다. 본 실험에서는 에폭시 가의 결정은 에폭시기 1㏖에 HCl 1㏖이 첨가되는 반응을 이용한 에폭시 수지의 특성 결정법이다.
실험 기구 및 시약
1. 실험 기구
1) 3구 둥근 플라스크, 오일배스, 아답터, 비커, 삼각 플라스크
2) 실리콘 오일, 교반기, 교반씰, 핫플레이트
2. 실험 시약
1) bisphenol-A, epichlorohydrin, N,N-dimethylaniline, phthalic anhydride
2) NaOH, pyridine, phenolphthalein, HCl, methyl red, 증류수
실험 방법
1. Epoxy 수지의 합성 방법
1) 250㎖ 3구 플라스크, bisphenol-A 0.02 ㏖ + (증류수 15㎖ + NaOH 0.0375 ㏖) 10분 동안 천천히 50℃까지 승온한다.
2) Epichlorohydrin 0.0314 ㏖ 투입한다.
3) 10분 동안 85℃까지 승온 후 30분 간 온도 유지한다. (95℃넘으면 부반응물이 다량 생성)
4) 투명한 상등액층과 가라앉는 수지층으로 층 분리됨. 상등액을 피펫으로 제거한다.
5) 80℃의 증류수를 투입 및 교반을 강하게 하여 슬러지 상태가 되도록 세척한다.
6) 수지를 150℃ 가열 및 수분 제거하고 투명한 수지를 수득한다.
7) 수지를 접시에 부어서 굳힌다.
2. Epoxy 가의 측정
1) 0.1~0.2 g의 epoxy 수지를 무게를 정확하게 측정한 뒤, 10㎖ 피리딘 염산염 용액에 가하여 20분 동안 환류한다. (피리딘 염산염 용액: HCl 16 ㎖ + pyridine 1L의 농도)
2) 실온으로 식힌 후, 0.1 N NaOH 용액으로 페놀프탈레인을 지식약으로 적정한다.
3. 산무수물에 의한 경화
1) 은박 접시를 이용하여 1 g의 epoxy 수지를 넣고 120 ℃로 가열하여 수지를 용융시킨다.
2) Phthalic anhydride 0.3 g + N,N-dimethylaniline 10 ㎎을 혼합한다.
3) 120℃, 1 hour 유지하고 경화된 수지를 수득한다.
실험 결과
1. 결과 분석
첫 번째 실험은 epoxy resin을 합성하기 위해 bisphenol-A 0.002㏖(0.46g), 증류수 15㎖, NaOH 0.0375㏖(1.5g), ECH 0.0314㏖(2.9g)을 반응했다.
![]() |
그림 5. bisphenol-A와 epichlorohydrin으로 합성한 epoxy resin |
두 번째 실험은 경화 과정으로 합성한 epoxy resin 1g을 120℃로 녹인 후, phthalic anhydride 0.3g, N,N-dimethylaniline 10mg을 혼합해 120℃, 1h 경화했다. 하지만 녹인 epoxy resin을 은박 접시로 옮기는 과정에서 빠르게 굳어 경화제와 혼합 못 했다.
토의 사항
1. 실험 고찰
본 실험은 bisphenol-A와 epichlorohydrin의 단계 중합으로 prepolymer인 epoxy resin을 얻어 경화제인 산무수물계 phthalic anhydride과 촉매 N,N-dimethylaniline을 혼합해 경화했다.
Epoxy resin의 합성 메커니즘은 NaOH의 촉매하에 과량의 ECH의 첨가-개환 반응 및 폐환 반응의 단계 중합으로 양 말단에 에폭시기가 있는 수지를 합성한다.
![]() |
그림 6. Epoxy resin의 합성 메커니즘 |
Epoxy resin 합성 과정에서 bisphenol-A와 NaOH만 먼저 넣는 이유는 촉매 역할인 NaOH가 bisphenol-A의 hydroxyl의 proton을 가져가 bisphenol-A과 ECH의 빠른 반응을 해주기 때문이다. 그리고 합성 시 주의할 점은 95℃ 이상에서 이미 생성된 에폭시기의 개환 반응이 쉽게 일어날 수 있어 epoxy resin 중의 hydroxyl의 함량을 증가시키는 부반응물이 생성된다.
본 실험은 경화를 실패했는데 그 원인은 epoxy resin이 딱딱한 이유다. 액체 에폭시 수지는 BPA/ECH 몰비가 1/2~2/3로 중합도 n=0~1 정도 된다. 다만 3/4 나 4/5가 되면 중합도 n=2 이상을 얻게 되어 상온에서 딱딱한 고체 에폭시 수지를 얻는다. 본 실험에서는 BPA/ECH 몰비가 약 2/3로 액체 에폭시 수지를 얻어야 하는데 [그림 7]과 같이 고체 에폭시 수지를 얻었다. 이는 미개환된 ECH의 양이 많아 biphenol-A의 비율이 높아졌다고 분석된다.
1) TGA (Thermogravimetric Analysis) Analysis
|
왼쪽 그래프는 epoxy resin의 TGA이고 오른쪽 그래프는 경화한 epoxy resin이다. 왼쪽 그래프에서 무게가 90%일 때 온도는 약 296℃이고 오른쪽 그래프는 약 350℃를 나타낸다. 이를 통해 경화한 epoxy resin이 epoxy resin보다 열적 안정성이 우수하다는 것을 알 수 있다.
2) DSC (Differential Scanning Calorimetry) Analysis
|
왼쪽 그래프는 epoxy resin의 DSC 2nd heating 결과로 유리전이온도(Tg)는 약 26℃에서 관찰되었다. 그리고 오른쪽 그래프는 경화한 epoxy regin으로 약 106℃로 높은 Tg를 얻었다. 이는 경화를 하면 가교밀도가 증가해 단단하고 높은 Tg를 얻을 수 있다는 것을 알 수 있다.
3) IR (Infrared Spectroscopy) Analysis
|
왼쪽 그래프는 epoxy resin의 IR 결과이고 오른쪽 그래프는 경화한 epoxy resin이다. 두 그래프를 비교하면 거의 같으므로 자료가 잘못되었다. 그 이유는 산무수물 경화제를 사용했기 때문에 C=O 결합의 1700
부근에 strong peak가 나타나야 한다. 또한, 경화 과정에서 C-O 결합 수가 증가했기 때문에 1200
부근에 broad한 peak가 나타나야 한다.
4) 에폭시 가를 직접 결정해보고, 산업 현장에서 쓰이는 수지의 에폭시가와 비교하여 수지의 물성과 에폭시 가의 관련성과 에폭시 당량(EEW)에 대해서 알아본다.
Epoxy value는 epoxy와 경화제의 혼합 비율을 결정해주기 위해 사용되며, 본 실험에서의 에폭시가의 결정은 에폭시기 1㏖에 HCl 1㏖의 첨가반응을 이용한 특성 결정법이다.
산업 현장에서 쓰이는 에폭시 가는 시료 100g 중에 존재하는 에폭시기의 당량(equiv/100g)이다. 에폭시 당량(EEW)은 epoxy 평균분자량/분자당 에폭시기의 수의 값(g/equiv)이며 경화제 당량은 경화제 분자량/경화제의 활성수소의 수이다. 따라서 아민계 경화제를 사용한 경우 당량비를 1:1로 그리고 산무수물계 경화제의 경우에 2:1로 혼합하면 경화가 가능하다.
Epoxy resin은 평균중합도 n=0~1이면 액상 수지를 얻을 수 있고 1 이상이면 고형 수지가 된다. 이때 EEW가 적을수록 액상 형태를 얻을 수 있다. 따라서 EEW가 작을수록 점도가 낮아지고 가소성, 충격강도 및 압축강도가 작아지며 내약품성이 커지는 물성을 얻게 된다.
5) Epoxy resin의 경화 메커니즘
산무수물계 경화제는 아민계보다 반응이 느려 고온 장시간의 경화 조건이 필요하다. 그래서 촉매 DMA를 혼합해 PA의 carboxylate을 생성한다. 생성된 carboxylate은 에폭시기와 반응하여 alkoxide을 생성하고 무수물을 공격해 carboxylate을 생성하는 가교 반응이 일어난다.
참고 문헌
1. Santosh K. Yadav, Fengshuo Hu & John J. La Scala, “Toughening Anhydride-Cured Epoxy Resins Using Fatty Alkyl-Anhydride-Grafted Epoxidized Soybean Oil”, ACS Omega. 2018, 3, 3, 2641.
2. Istebreq A. Saeedi,Thomas Andritsch, & Alun S. Vaughan, “On the Dielectric Behavior of Amine and Anhydride Cured Epoxy Resins Modified Using Multi-Terminal Epoxy Functional Network Modifier”, Polymers, 2019, 11(8), 1271.
3. Yoon, M., Lim, CS. “Comparative experiments on amine vs. acid anhydride curing agents for epoxy resin required for automotive parts”, J Polym Res, 2023, 30, 9.

















0 댓글